
金湖县华升计量仪器有限公司
联系人:陈经理
电 话:0517-86994588
客 服:13915185455
客 服:15152325949
邮 箱:service@hs-0.com
摘要:借助电磁流量计管道中含有油泡时虚电流分布的理论模型,分别利用Ansys软件与Schwartz交替迭代法求解敏感场内的电势分布和虚电流分布规律。仿真结果表明:在电极附近,虚电流值达到最大值;在被测区域内,虚电流的分布在油泡附近区域有明显的起伏变化,在油泡内部虚电流的值为零;虚电流的分布因油泡的存在而变得更加复杂,油泡越大,对电磁流量计影响面越大。
电磁流量计应用于多相流中具有独特的优点,当电磁流量计应用于油井测量时,流体中会存在油泡,对电磁流量计测量有--定影响,因此分析油泡对流量计内部敏感场是必要的。Jae-EunCha等人运用两个流量计来计算空隙率的大小-”;,Deok-HongKang等人对流体中有段塞流的数值信号的预测和校准进行了研究"。本文建立了电磁流量计管道轴线位置含有一个球形油泡时敏感场分布的理论模型,利用Schwartz交替迭代法"以及Ansys软件分析的方法对电磁流量计敏感场进行研究,分析了流.量计中含有一个球形油泡时流量计的内部敏感场情况。
1仿真模型
电磁流量计管道内轴线位置含--柱状油泡时的仿真模型如图I所示。图中,电磁传感器内径为2a,高度为2b;磁场强度垂直于纸面向里,感应电极位于传感器两侧,且右侧为正电极,左侧为负电极。一个底面直径为2ao、高为260的柱状油泡位于电磁传感器轴线位置上,其上底面至传感器轴向中心处的距离为L。流量计两个电极位于x轴上,y轴在流量计的中轴线上,x轴与y轴构成直角坐标系。
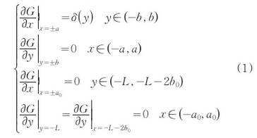
2理论基础.
按照上述的仿真模型,其内部感应电动势可用Laplace方程V2G=0来描述,在二维直角坐标系下其满足的边界条件为
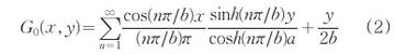
令G=G0+G*,其中G0为不含油泡即传感器内部仅充以连续水相时敏感场内的电势分布,其满足Laplace方程Δ2Go=0的边界条件,采用分离变量法,可求得G0的解为
式G=Go+G"中,G"为加人柱状油泡后所引起的电势变化。为了求解G*,把传感器敏感区域分解为如下4个子区域
式中λ1n=uπ/2b,λ2n=nπ/2α;An、Bn、Cn和Dn为待定系数,采用Schwartz交替迭代法可以求出这些未知系数。G1*、G2*、G3*和G4*的计算结果与式(3)相加,即得轴向位置含一柱状油泡时电磁传感器内部电势G的解,进而可计算出此时电磁流量计的响应特性。
3数值仿真
在Matlab环境下,利用交替迭代法求解未知系数,可得到各区域中虛电流势变化值的表达式,进而获得电磁流量计内部虚电流的分布情况。图2给出了轴向位置含一柱状油泡时电磁流量计内部虛电流的分布图。从图2可以明显地看出,在油泡内部虛电流的值为0,在电极位置处虛电流达到最大.值;油泡的出现对电磁流量计内部虛电流大小及分布造成了一定的影响,从而改变了电磁流量计的输出结果。
4Ansys实验仿真
运用有限元软件对电磁流量计含有--个油泡时流量计敏感场进行建模仿真,图3为含油泡时电磁流量计虛电流分布图。从仿真图上可以看出,油泡影响着电磁流量计的敏感场,在油泡附近虛电流发生了变化,油泡影响其附近的区域的虛电流分布,但油泡内部虛电流大小近似相等。
5结语
建立了管道轴线位置含球形油泡时电磁流量计内部敏感场分布的理论模型,利用Ansys软件仿真与Schwartz交替迭代法求解了敏感场内的虚电流分布,最后得到结论:在电极附近,虛电流值达到最大值;在被测区域内,虛电流在绝缘油泡周围有所变化,在油泡内部虛电流的值为0。从仿真结果可知,油泡的存在使电磁流量计虛电流的分布变得复杂。
本文电磁流量计,金湖县华升计量仪器有限公司为您提供,转载请注明出处!!