
金湖县华升计量仪器有限公司
联系人:陈经理
电 话:0517-86994588
客 服:13915185455
客 服:15152325949
邮 箱:service@hs-0.com
1介绍
近年来,随着流量计量行业的发展,由于电磁流量计具有无移动部件,无压力损失,测量范围宽等优点,已被应用于各种场合,使用过程中遇到的问题是如何改善。大口径流量计量精度。如果使用管道式电磁流量计来测量大直径管道的流量,则体积大,处理成本高,校准和安装和维护非常困难,并且给管道式电磁流量计带来许多不便工程应用。因此,在这种情况下,通常使用插入式电磁流量计代替管线电磁流量计来测量大直径管的流动。但是,插入式电磁流量计会产生影响测量精度的非线性现象。现在许多学者采用多级非线性补偿方法来解决这个问题。整个范围内的流量被分成多个流量段,分别求解不同相的流量系数,从而得到各个段的流量值。但是,这种方法使用起来比较复杂,而且准确度有限。因此,从电磁流量计本身的结构出发,找出造成非线性现象的原因,并找到一种方法来提高插入式电磁流量计从源头的线性度。
2.插入式电磁流量计的工作原理插入式电磁流量计的测量原理是基于法拉第电磁感应定律E = BLv
其中,E是两个电极之间产生的感应电动势,B是磁感应强度,L是磁感应线的有效长度,平均流速,流体是导电介质。原理图如图1所示。(1)可表示为

插入式电磁流量计示意图
当B和B都恒定时,可以通过测量感应电动势E来获得平均流量。由于已知管道的横截面积是已知的,所以导电流体的体积流量可以容易地决心。
![]()
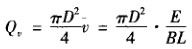
其中,D是被测管道的内径,Q是体积流量。
从公式(3)可以看出,当管道结构固定时,体积流量P与比率E / B成正比,其与管道内的流体温度,密度和压力无关。
当磁感应强度B恒定时,体积流量Q与感应电动势E成比例,即体积流率和感应电动势完全是线性的。
3传感器线性评估
线性度是传感器的主要静态性能指标之一。它被定义为测试系统和输入系统的输出是否可以维持正常比例(线性关系)作为理想系统。指标。线性反映了校准曲线与给定直线的一致程度,该直线是通过某种方法确定的理想直线。线性也称为非线性,参考GB / T18459-2001“计算传感器静态性能的方法”的线性来确定。
含义:正负冲程的实际平均特性曲线相对于参考线(拟合直线)的较大偏差表示为满量程输出的百分比。该指标通常表示为线性误差
![]()
其中,Δmax是一个很大的残差,Y是一个理论的满量程输出。在本文中,使用最小二乘法来评估线性,即拟合直线是一个小方块直线。小方块直线保证了传感器实际输出平均值的偏差平方很小,即保证了直线拟合得到的结果与测量结果之间的偏差小并且更可靠。根据定义,线性是校准曲线与此小平方拟合线的偏差。
4插入式电磁流量计非线性现象的原因
插入式电磁流量计用于冲压插入被测管道的适当位置,测量导电流体的流量,并可在恒定流量下取出进行清洗和维护,操作非常方便。但插入管道中的探针等同于引入用于管道流场的扼流装置。 流体在该探针周围移动,如图2所示。

在探头周围插入电磁流量计液体
其中,Δmax是一个很大的残差,Y是一个理论的满量程输出。 在本文中,使用最小二乘法来评估线性,即拟合直线是一个小方块直线。 小方块直线保证了传感器实际输出平均值的偏差平方很小,即保证了直线拟合得到的结果与测量结果之间的偏差小 并且更可靠。 根据定义,线性是校准曲线与此小平方拟合线的偏差。
本文插入式电磁流量计,金湖县华升计量仪器有限公司为您提供,转载请注明出处!!